


记者从浙江省教育考试院了解到,浙江省2025年高考艺术类统考批第一段、体育类第一段平行志愿已于7月17日上午投档。预计7月19日左右,考生可通过浙江省教育考试院网站或“浙江考试”微信公众号,查询自己的录取情况。
查看分数线预估投档去向
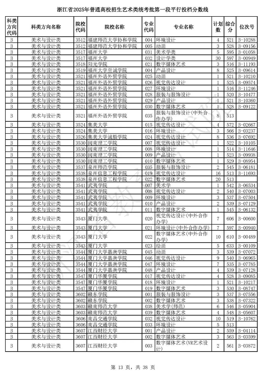
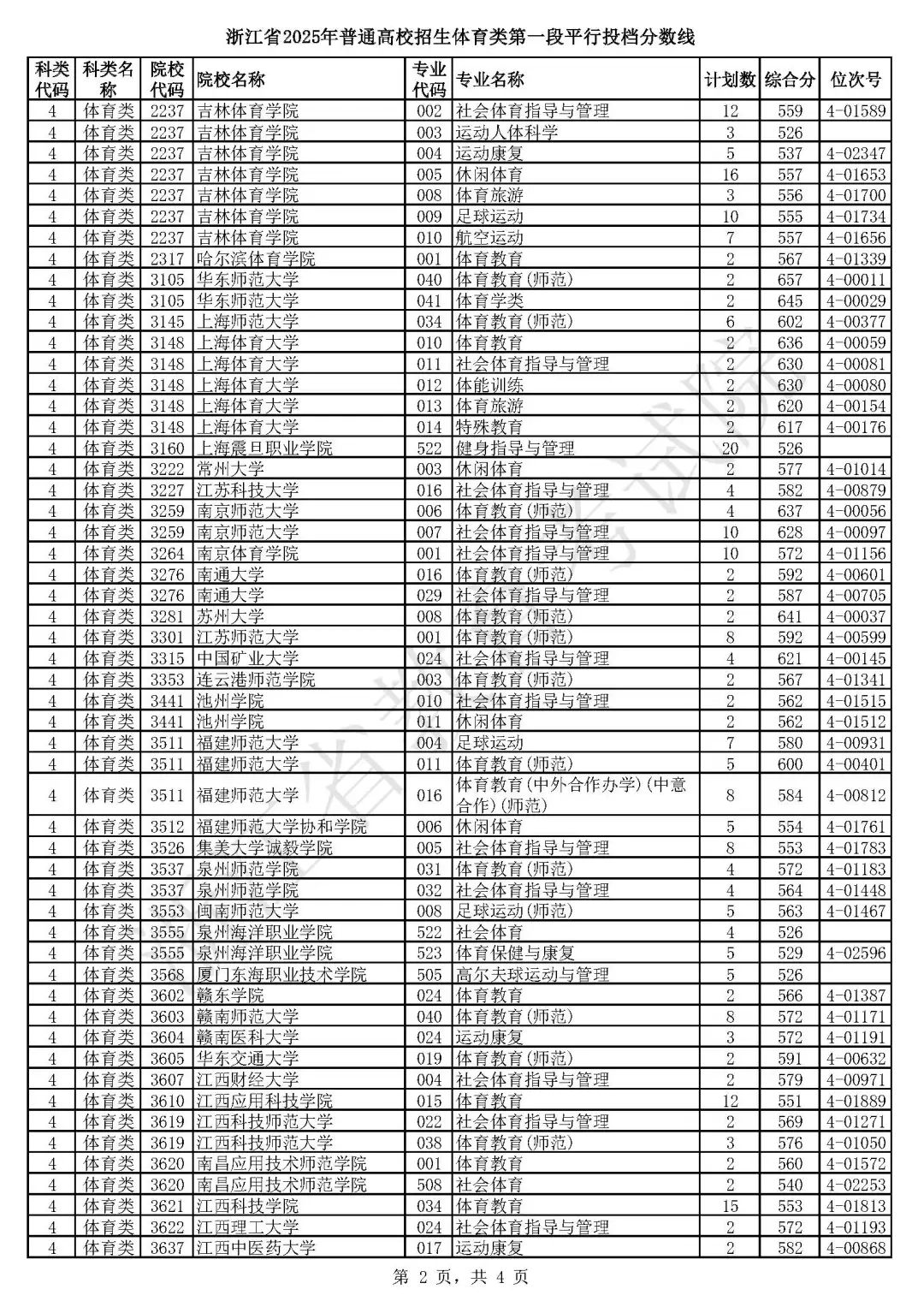
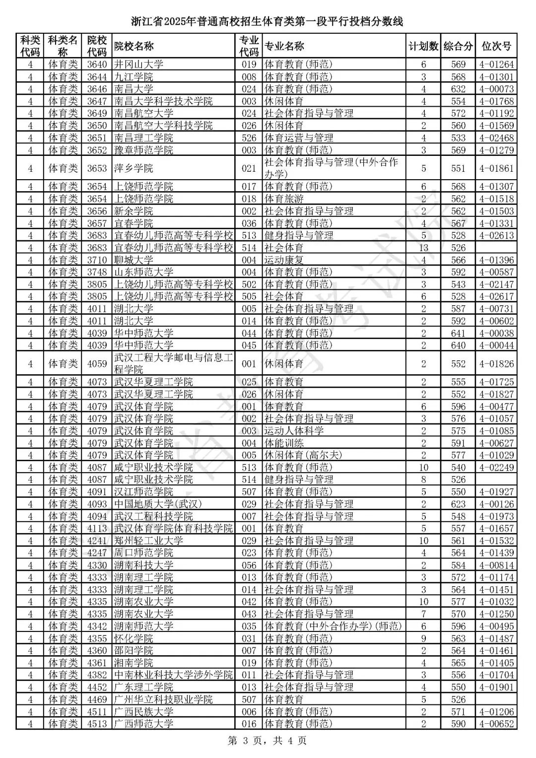
高校专业投档分数线,是被投档到某高校专业的最后一名考生的分数。考生可根据自己的志愿顺序,依次对照相应高校专业投档分数位次与自己的成绩位次,预估当前投档去向。
浙江省2025年普通高校招生艺术类统考批第一段平行投档分数线











































































浙江省2025年普通高校招生体育类第一段平行投档分数线






